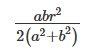
A triangle is drawn with its vertices on the circle C C C such that one of its sides is a diameter of C C C and the other two sides have their lengths...

Question

A triangle is drawn with its vertices on the circle

CC
such that one of its sides is a diameter of
CC
and the other two sides have their lengths in the ratio
a:ba : b
. If the radius of the circle is
rr
, then the area of the triangle is

Options

A. Option A
B. Option B
C. Option C
D. Option D
cat 2023inscribed trianglepythagoras theoremarea calculation

Solve This Question

Get instant feedback with detailed step-by-step solution

Start Solving →