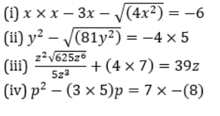
In which of the following equations is the difference between the larger and smaller root exactly 1?
Question
In which of the following equations is the difference between the larger and smaller root exactly 1?

In which of the following equations is the difference between the larger and smaller root exactly 1?
