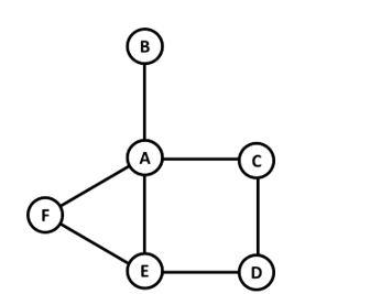
A, B, C, D, E and F are the six police stations in an area, which are connected by streets as shown below. Four teams – Team 1, Team 2, Team 3 and Tea...
Question
A, B, C, D, E and F are the six police stations in an area, which are connected by streets as shown below. Four teams – Team 1, Team 2, Team 3 and Team 4 –
patrol these streets continuously between 09:00 hrs. and 12:00 hrs. each day.

The teams need 30 minutes to cross a street connecting one police station to another. All four teams start from Station A at 09:00 hrs. and must return to Station A by 12:00 hrs. They can also pass via Station A at any point on their journeys.
The following facts are known.
- None of the streets has more than one team traveling along it in any direction at any point in time.
- Teams 2 and 3 are the only ones in stations E and D respectively at 10:00 hrs.
- Teams 1 and 3 are the only ones in station E at 10:30 hrs.
- Teams 1 and 4 are the only ones in stations B and E respectively at 11:30 hrs.
- Team 1 and Team 4 are the only teams that patrol the street connecting stations A and E.
- Team 4 never passes through Stations B, D or F.
Which team patrols the street connecting Stations D and E at 10:15 hrs?