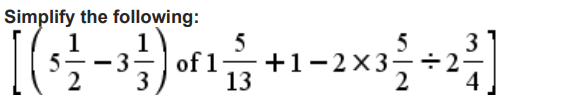
Question

image.png

Options

A.

0

B. Option B
C.

-2

D. Option D
fractionsmixed numbersorder of operationsarithmeticssc 2024

Solve This Question

Get instant feedback with detailed step-by-step solution

Start Solving →