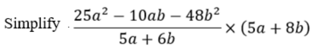
Question

Screenshot 2025-05-08 211839.png

Options

A. Option A
B. Option B
C. Option C
D. Option D
algebrasimplificationpolynomialsfactorizationssc 2024

Solve This Question

Get instant feedback with detailed step-by-step solution

Start Solving →