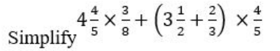
Question

Screenshot 2025-05-06 205312.png

Options

A.

15/77

B.

77/15

C.

10/3

D.

3/10

fractionsmixed numbersarithmeticsimplificationssc 2024

Solve This Question

Get instant feedback with detailed step-by-step solution

Start Solving →