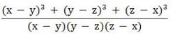
Simplify the expression

Question

Simplify the expression

image.png

Options

A.

3

B.

1

C.

0

D.

2

algebrapolynomialscubic expressionssimplification

Solve This Question

Get instant feedback with detailed step-by-step solution

Start Solving →